کارخانههای تولیدکننده میلگرد در ایران با استفاده از استانداردهای مختلف محصولات خود را تولید میکنند. به همین دلیل وزن میلگرد این کارخانهها به استاندارد مورد استفاده توسط آنها بستگی دارد. پرکاربردترین استانداردهای مورد استفاده در ایران، استاندارد ملی ISIRI 3132 و استاندارد روسی GOST 5781 هستند. میزان مرغوبیت و سنگین یا سبک بودن وزن میلگرد کارخانه ها، در مقایسه با جدول وزنی استاندارد ISIRI 3132 تعیین میشود و اکثر تولیدکنندگان سعی میکنند تا محصولاتشان وزنی نزدیک به وزنهای درج شده در جدول وزن میلگرد داشته باشد. وزن میلگرد در کنار قیمت آهن، از عواملی هستند که تأثیر زیادی روی قیمت میلگرد دارند. در این مقاله با وزن میلگرد های مختلف آشنا میشوید و میتوانید در انتهای مقاله جدول وزن میلگرد pdf را دانلود کنید.
وزن میلگرد کارخانههای مختلف به چه عواملی بستگی دارد؟
بر اساس استاندارد روسی GOST 5781، میلگردها به چهار دسته A1، A2، A3 و A4 تقسیم میشوند که دسته A1 همان میلگردهای ساده هستند. سایر دستهها، میلگردهای آجدار هستند که بسته به گرید، شکل آج آنها متفاوت است. همچنین هر چقدر گرید میلگرد بالاتر باشد، میزان کربن و در نتیجه شکنندگی آن بیشتر است. در جدول وزنی، وزن میلگردهای شاخهای بر اساس گرید و سایز تفکیک شده است.
علاوه بر گرید و استاندارد، سایز میلگرد نیز بر وزن آن تأثیرگذار است. در میان تولیدکنندگان مختلف، وزن میلگرد اصفهان، کویر کاشان و راد همدان سنگینتر از وزن میلگرد کارخانه ها دیگر است و وزن میلگرد تولیدشده توسط آنها، به جدول وزنی استاندارد و اشتال، نزدیکتر است. همچنین کارخانهای مانند ظفر بناب، تولیدکننده سبکترین میلگردها با کیفیت قابلقبول است که خرید آن را قابل توجیه میکند.
وزن میلگرد کارخانههای مختلف، به نوع فولاد مورد استفاده و استانداردی که در تولید به کار می برند، بستگی دارد.
با جدول وزن میلگرد کارخانه ها آشنا شوید
جدول وزن میلگرد کارخانه ها را در ادامه میبینید:
|
|
سایز و گرید میلگرد
|
|
نام میلگرد
|
A2
|
A3
|
|
8
|
10
|
10
|
12
|
14
|
16
|
18
|
20
|
22
|
25
|
28
|
32
|
|
میلگرد اصفهان
|
-
|
7.39
|
-
|
11
|
15
|
19
|
24
|
32
|
36
|
47
|
58
|
76
|
|
میلگرد بناب
|
4.2
|
6.2
|
-
|
10.2
|
13.6
|
17.3
|
22.1
|
28
|
35.5
|
45.9
|
56
|
76
|
|
میلگرد زاگرس
|
-
|
-
|
-
|
10.5
|
14.5
|
18.5
|
23.5
|
29.5
|
35.5
|
46.3
|
58
|
75.7
|
|
میلگرد میانه
|
-
|
-
|
7.4
|
11
|
14.5
|
19
|
24
|
29.5
|
36
|
46.5
|
58
|
76
|
|
میلگرد نیشابور
|
-
|
-
|
7.3
|
10.5
|
14.2
|
18.8
|
24
|
29
|
36
|
46.8
|
57.8
|
75.6
|
|
میلگرد همدان
|
4.3
|
6.2
|
-
|
9.5
|
13.5
|
17.5
|
21.5
|
27
|
31
|
42
|
55
|
-
|
|
میلگرد ابرکوه
|
-
|
-
|
-
|
11
|
14.5
|
19
|
24
|
29.5
|
36
|
46.5
|
56.5
|
76
|
|
میلگرد آناهیتا
|
4.2
|
6.5
|
-
|
9.8
|
13.8
|
18
|
23
|
28
|
34.5
|
45
|
55
|
73
|
|
میلگرد شاهین
|
4.4
|
7.07
|
-
|
10.19
|
13.88
|
18.29
|
23.16
|
28.6
|
34.5
|
44.75
|
56.1
|
73.05
|
|
میلگرد ابهر
|
4.5
|
7.4
|
-
|
10.5
|
14.2
|
18.7
|
23.5
|
29.4
|
35.2
|
44.9
|
58
|
-
|
|
میلگرد بافق
|
4.7
|
7.4
|
-
|
10.7
|
14.5
|
19
|
24
|
29
|
35
|
46
|
58
|
75
|
|
میلگرد آریا ذوب
|
-
|
7
|
-
|
10.5
|
13.5
|
17.5
|
21.5
|
27.2
|
31.5
|
42.5
|
54
|
70
|
|
میلگرد شاهرود
|
-
|
7.5
|
-
|
11
|
14
|
19
|
23
|
30
|
35
|
45
|
58
|
75
|
|
میلگرد ارگ تبریز
|
-
|
-
|
-
|
10.5
|
14.5
|
19-18.5
|
24-23
|
29.5
|
35.5-35
|
48.5
|
57.54
|
-
|
|
میلگرد ابرکوه
|
-
|
-
|
-
|
11
|
145
|
19
|
24
|
29.5
|
36
|
46.5
|
56.5
|
76
|
|
میلگرد تیکمه داش
|
4.5
|
-
|
7
|
10
|
13.8
|
18.2
|
23.2
|
28.5
|
34.5
|
44.5
|
56.5
|
74
|
|
میلگرد امیرکبیر خزر
|
-
|
7.4
|
-
|
11.1-10.7
|
14.2-13.7
|
18.5-18
|
24
|
29-28
|
35.5
|
46
|
58
|
72
|
|
میلگرد دزفول روهینا
|
4.6
|
-
|
7.3
|
10.3
|
14.2
|
18.5
|
23.2
|
29
|
35
|
45
|
57
|
74
|
|
میلگرد فایکو
|
-
|
-
|
7.4
|
10.6
|
14.5
|
19
|
24
|
29.5
|
35.8
|
46.2
|
57
|
75
|
|
میلگرد سیرجان
|
5
|
8
|
-
|
11
|
15
|
19
|
24
|
30
|
36
|
47
|
58
|
76
|
جدول وزن میلگرد pdf
جدول وزن میلگرد pdf کارخانههای مختلف را میتوانید از انتهای همین مقاله دانلود کنید.
وزن میلگرد کارخانههای مختلف چقدر است؟
در ادامه، مشخصات وزن میلگرد 10 کارخانه برتر را میبینید:
وزن میلگرد ظفر بناب
میلگرد ظفربناب سبک و باکیفیت است. وزن میلگرد ظفر بناب را میتوانید در جدول زیر ببینید. قیمت میلگرد بناب با توجه به وزن پایین آن، بسیار مقرون بهصرفه است.
وزن میلگرد ذوبآهن اصفهان
این کارخانه نخستین تولیدکننده فولاد ساختمانی در ایران بوده و از سال 46 مشغول به فعالیت است. قیمت این میلگرد با توجه به کیفیت آن، مناسب است. وزن میلگرد اصفهان را میتوانید در جدول بالا ببینید.

وزن میلگرد زاگرس
این کارخانه در سال 1393 شروع به کار کرده و در همین مدت کم میلگرد زاگرس توانسته به یکی از برترین میلگردهای تولیدی در کشور شود. وزن میلگرد زاگرس در مقایسه با جداول وزنی استاندارد بیشتر بوده و همین موضوع باعث شده تا میزان فروش آن بالا باشد. وزن میلگردهای تولیدی این کارخانه، در جدول بالا آمده است.

وزن میلگرد میانه
این کارخانه در شهر میانه قرار دارد و به همین دلیل، میلگردهای تولید شده در آن با نام «میلگرد میانه» شناخته میشوند. قیمت میلگرد میانه با توجه به کیفیتش، بالا نیست و همین موضوع خرید آن را قابل توجیه میکند.
وزن میلگرد نیشابور
مجتمع فولاد خراسان از بزرگترین تولیدکنندگان فولاد ایران است. به علت واقعشدن این کارخانه تولید میلگرد در نزدیکی شهر نیشابور، میلگردهای تولیدی آن با نام میلگرد نیشابور در بازار شناخته میشوند.
وزن میلگرد راد همدان
این مجتمع یکی دیگر از تولیدکنندگان تازه تأسیس است که به تولید میلگردهای باکیفیت مشهور است. وزن انواع میلگرد همدان در جدول بالا آمده است.
وزن میلگرد ابرکوه
وزن میلگرد ابرکوه یزد آن به وزن استاندارد بسیار نزدیک است. قیمت میلگرد ابرکوه نیز با توجه به وزن آن، مقرون بهصرفه است.

وزن میلگرد آناهیتا گیلان
کارخانه فولاد آناهیتا گیلان یکی دیگر از کارخانههای تولیدکننده میلگرد سبک و باکیفیت است. همین موضوع باعث شده با سابقهای کمتر از یک دهه، میلگرد آناهیتا فروش خوبی داشته باشد. وزن این میلگرد در جدول بالا شرح داده شده است.

وزن میلگرد شاهین بناب
این کارخانه با نام شاهین بناب نیز شناخته میشود و میلگردهای آن در بازار با نام میلگرد شاهین به فروش میرسند. وزن انواع میلگرد شاهین در جدول بالا آمده است.

وزن میلگرد ابهر سیادن
این کارخانه توسط کارخانه عتیق آذر سهند اجاره شده و محصولات آن توسط این کارخانه به فروش میرسند. جدول وزن میلگرد ابهر را میتوانید در بالا مشاهده کنید.
وزن میلگرد های مختلف چگونه محاسبه میشود؟
همانطور که گفتیم، وزن میلگرد های مختلف به استانداردی که در ساخت آنها به کار رفته بستگی دارد؛ بنابراین یکی از راههای به دست آوردن وزن یک شاخه میلگرد این است که از جدول وزن میلگرد استاندارد استفاده کنید. همچنین جدول وزن میلگرد کارخانه ها در سایتشان وجود دارد که وزنهای این جدولها، به وزنهای استاندارد و جدول اشتال، نزدیک است.
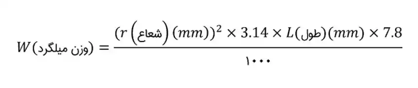
از آنجایی که قیمت میلگرد به صورت کیلویی اعلام میشود، در صورت عدم دسترسی به جداول وزنی یا جدول اشتال، یا به منظور بررسی صحت ادعای تولیدکننده و فروشنده، میتوانید از چند فرمول برای محاسبه وزن میلگرد استفاده کنید. پرکاربردترین فرمول، توسط استاندارد آلمانی DIN توصیه شده است:

دقت داشته باشید که پیش از خرید میلگرد، بایستی با مشاور و مهندس طراح سازه مشورت کنید تا بتوانید میلگرد موردنیاز خود را در تعداد، سایز و وزن مناسب خریداری کنید. چراکه با مطالعه مطالب بالا دریافتیم که متقاوت بودن وزن میلگرد کارخانه ها در ایران باعث میشود تا قیمت آن متغیر باشد.