گزارش وضعیت بازار آهن در هفته دوم آبان ماه 1400

هیجان در بازار آهن و فولاد فروکش می‌کند؟
انتشار: 1400/08/16
اخبار بروزرسانی: 1402/06/26
گزارش وضعیت بازار آهن در هفته دوم آبان ماه 1400
تحلیل بازار هفته دوم آبان - 4:11 دقیقه

 

در هفته دوم آبان، بازار آهن و فولاد، شاهد ثبات قیمت و کاهش تقاضا بود. این در حالی است که در هفته‌های گذشته، افزایش قیمت جهانی فولاد منجر شده بود که قیمت‌ها در بازار داخلی افزایش یابد. در هفته گذشته نرخ دلار نیز افزایشی ناگهانی و نگران‌کننده داشت. در ادامه این مقاله، تحلیل بازار ارز، عوامل تأثیرگذار بر بازار و تحلیل قیمت مقاطع فولادی در هفته دوم آبان 1400 را می‌خوانید:

 

 

1. تغییرات قیمت دلار در هفته دوم آبان چقدر بود؟

بر خلاف هفته اول آبان، در هفته گذشته نرخ دلار سقوط و صعودی نسبی را تجربه کرد و علی‌رغم کاهش در اوایل هفته، در آخر هفته افزایش یافت و به مرز 28.000 تومان رسید. بر خلاف دلار آزاد، نرخ دلار نیمایی نزولی بود و با شیبی ملایم تا 23.250 تومان کاهش یافت. نمودارهای زیر، نوسانات قیمت دلار آزاد، دلار نیمایی و یورو را در هفته دوم آبان نشان می‌دهد:

تغییرات قیمت دلار آزاد در 8 تا 13 آبان ماه 1400


 
نمودار 1: تغییرات قیمت دلار آزاد در 8 تا 13 آبان ماه 1400

 

تغییرات قیمت دلار نیمایی در 8 تا 13 آبان ماه 1400
نمودار 2: تغییرات قیمت دلار نیمایی در 8 تا 13 آبان ماه 1400


 تغییرات قیمت یورو در 8 تا 13 آبان ماه 1400
نمودار 3: تغییرات قیمت یورو در 8 تا 13 آبان ماه 1400


2. چرا روند صعودی قیمت‌ها در هفته دوم آبان متوقف شد؟

در هفته دوم آبان ماه، کنترل قیمت دلار نیمایی و کاهش آن، یکی از راه‌حل‌های دولت در جهت کنترل روند صعودی قیمت‌ها بود. البته در این هفته، روند افزایشی قیمت جهانی فولاد نیز متوقف شد و باعث شد که قیمت اکثر مقاطع فولادی، روی عددی ثابت باقی بماند.
یکی از مهم‌ترین رخدادهای بازار در هفته گذشته، افزایش موقتی دلار آزاد در اواخر هفته بود. روز سه‌شنبه گذشته، سخنگوی طالبان اعلام کرد که انجام معاملات با ارزهای خارجی در افغانستان ممنوع شده و از آنجایی که این کشور یکی از بزرگ‌ترین بازارهای صادراتی برای کالاهای ایرانی است، قیمت دلار افزایشی هیجانی و موقت داشت.
یک اتفاق مهم دیگر، عرضه تیرآهن معمولی سبک توسط ذوب‌آهن در بورس کالا بود. تیرآهن معمولی جدید این کارخانه به مراتب از تیرآهن‌های معمولی قبلی وزن کمتری دارد و به همین دلیل قیمت آن نیز پایین‌تر است. این اتفاق می‌تواند دست تولیدکنندگان بخش خصوصی را برای رقابت با محصولات ذوب‌آهن، باز بگذارد.
متوقف شدن روند صعودی قیمت‌ها در بازار جهانی فولاد، تأثیر خود را بر معاملات بورس کالا نیز نشان داد و میزان تقاضا برای شمش و مقاطع طویل، کاهش محسوسی در هفته گذشته داشت. میزان عرضه شمش در روز سه‌شنبه گذشته به علت استقبال گسترده در هفته اول آبان، به حدود 200.000 تن رسید اما تنها نیمی از آن معامله شد. نسبت معامله به عرضه مقطعی مثل میلگرد نیز کاهش محسوسی نسبت به هفته قبل داشت و اکثر خریداران تصمیم گرفتند تا روشن شدن وضعیت روند قیمت‌ها، دست نگه ‌دارند.

 

3. قیمت میلگرد در هفته دوم آبان چقدر نوسان داشت؟

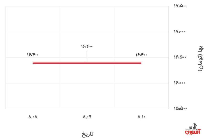
قیمت میلگرد که برای کانال 17.000 تومانی خیز برداشته بود، در هفته گذشته ثباتی نسبی داشت. به عنوان مثال، قیمت میلگرد اصفهان در تمام طول هفته روی عدد 16.400 تومان به ازای هر کیلو ثابت بود و قیمت میلگرد بناب نیز با کاهشی محسوس، از 16.950 به 16.550 تومان رسید. نمودارهای زیر، نوسانات قیمت میلگرد ذوب‌آهن اصفهان و ظفر بناب در هفته گذشته را نشان می‌دهند:

 

تغییرات قیمت میلگرد 20 اصفهان در 8 تا 13 آبان ماه 1400
نمودار 4: تغییرات قیمت میلگرد 20 اصفهان در 8 تا 13 آبان ماه 1400

 


 تغییرات قیمت میلگرد 20 ظفر بناب در 8 تا 13 آبان ماه 1400
نمودار 5: تغییرات قیمت میلگرد 20 ظفر بناب در 8 تا 13 آبان ماه 1400


4. وضعیت قیمت تیرآهن در هفته دوم آبان چگونه بود؟

قیمت تیرآهن نیز در هفته دوم آبان تا مرز 16.000 تومان بالا رفت ولی نتوانست این سقف قیمتی را رد کند. به عنوان مثال، قیمت تیرآهن اصفهان در بیشتر روزهای هفته روی عدد 15.800 تومان ثابت بود و در انتهای هفته تا 15.750 تومان پایین آمد. نمودار زیر، نوسانات قیمت این مقطع فولادی را در هفته گذشته نشان می‌دهد:

 


 تغییرات قیمت تیرآهن 16 ذوب‌آهن در 8 تا 13 آبان ماه 1400
نمودار 6: تغییرات قیمت تیرآهن 16 ذوب‌آهن در 8 تا 13 آبان ماه 1400

 

5. قیمت نبشی در هفته دوم آبان چقدر تغییر کرد؟

در هفته دوم آبان 1400، قیمت نبشی در مقایسه با قیمت سایر مقاطع فولادی، ثبات بیشتری داشت. به عنوان مثال، قیمت نبشی ناب تبریز در تمام طول هفته روی عدد 17.400 تومان ثابت بود و تنها در انتهای هفته، 100 تومان کاهش داشت. قیمت نبشی آریان فولاد نیز در هفته گذشته عددی به غیر از 17.100 تومان را تجربه نکرد. تغییرات قیمت این دو محصول را در نمودارهای زیر ببینید:


 تغییرات قیمت نبشی 4 ناب تبریز در 8 تا 13 آبان ماه 1400
نمودار 7: تغییرات قیمت نبشی 4 ناب تبریز در 8 تا 13 آبان ماه 1400

 

تغییرات قیمت نبشی 4 آریان فولاد در 8 تا 13 آبان ماه 1400
نمودار 8: تغییرات قیمت نبشی 4 آریان فولاد در 8 تا 13 آبان ماه 1400

 

6. بررسی نوسانات قیمت قوطی پروفیل در 8 تا 13 آبان

در هفته دوم آبان ماه قیمت قوطی پروفیل نیز از سایر مقاطع فولادی مستثنا نبود و ثبات داشت. به عنوان مثال، قیمت قوطی پروفیل کیان پرشیا در بیشتر روزهای هفته 27.400 تومان بود و قیمت قوطی پروفیل فولاد گستر حداد نیز تنها در یک روز کاهشی 200 تومانی داشت و از 26.400 به 26.200 تومان رسید. نمودار نوسانات قیمت این 2 مقطع فولادی را در ادامه می‌بینید:

 


تغییرات قیمت پروفیل 2*40*40 کیان پرشیا در 8 تا 13 آبان ماه 1400 
نمودار 9: تغییرات قیمت پروفیل 2*40*40 کیان پرشیا در 8 تا 13 آبان ماه 1400

 


تغییرات قیمت پروفیل 2*40*40 فولاد گستر حداد در 8 تا 13 آبان ماه 1400 
نمودار 10: تغییرات قیمت پروفیل 2*40*40 فولاد گستر حداد در 8 تا 13 آبان ماه 1400

 

7. قیمت مقاطع فولادی در هفته آینده افزایشی است یا کاهشی؟

به نظر می‌رسد که در حال حاضر در سقف قیمتی فولاد در بازار جهانی هستیم و توقف فعلی روند افزایشی، نشانه‌ای برای شروع یک روند کاهشی است. وضعیت تقاضا در بورس کالا در هفته دوم آبان نیز نشان‌دهنده این است که بازار داخلی نسبت به افزایش بیشتر قیمت، روی خوشی نشان نخواهد داد و اکثر خریداران مقاطع طویل، منتظر کاهش قیمت‌ها هستند. کاهشی شدن قیمت‌ها، به عدم وجود سیگنال‌های منفی بستگی دارد.

 

به شما توصیه می‌کنیم به‌ منظور خرید مقاطع فولادی یا سرمایه‌گذاری در این بازار، بدون تحقیق و شناخت بازار دست به هیچ اقدامی نزنید. تحلیل ماهانه بازار آهن و فولاد، می‌تواند راهنمای خوبی برای شما در این راه باشد.

 

مسعود تاجیک
- نویسنده
ارسال نظر جدید