وضعیت آشفته بازار آهن و فولاد در هفته اول خرداد نیز ادامه داشت. در این هفته قیمت اکثر مقاطع فولادی تغییر چندانی نداشت اما قیمت تیرآهن با شیب عجیبی بالا رفت.
تحلیل تغییرات قیمت ارز در هفته اول خردادماه 1400
در هفته اول خرداد 1400 قیمت دلار آزاد اندکی افزایش داشت اما قیمت این ارز مهم همچنان بین کانال 22.000 و 23.000 نوسان داشته و در هفتههای اخیر وارد کانالهای بالاتر یا پایینتر نشده است. گرچه قیمت آن در اکثر روزهای هفته گذشته به کانال 23.000 تومان نزدیکتر بود. نمودارهای زیر نوسانات قیمت دلار و سایر ارزهای تأثیرگذار بر بازار را نشان میدهند:

نمودار 1: تغییرات قیمت دلار آزاد در 1 تا 6 خرداد 1400

نمودار 2: تغییرات قیمت دلار نیمایی در 1 تا 6 خرداد 1400

نمودار 3: تغییرات قیمت یورو در 1 تا 6 خرداد 1400
چرا بازار آهن و فولاد همچنان آشفته است؟
در هفته اول خرداد قیمت اکثر مقاطع فولادی در مقایسه با هفته آخر اردیبهشت ثابت بود اما قیمت تیرآهن سیر صعودی خود را ادامه داد و به 15.000 تومان رسید، قیمت نبشی هم با وجود باقی ماندن در کانال 15.000 تومان، 400 تومان گرانتر شد. این در حالی بود که انتظار میرفت باوجود عوامل زیر، قیمتها در بازار آهن و فولاد تغییر چندانی نکند:
- کاهش قیمت جهانی فولاد در نتیجه سیاستهای کنترلی دولت چین
- کاهش قیمت شمش فولادی در منطقه CIS
- افزایش نامحسوس نرخ ارز
با این وجود در دو هفته اخیر برای خرید محصولات ذوبآهن در بورس کالا صف خرید تشکیل میشود و همین موضوع موجب گرانی قیمت تیرآهن این کارخانه شده است. این موضوع با در نظر گرفتن این نکته که اکثر مقاطع فولادی کارخانههای دیگر چندان در بورس کالا مورد استقبال قرار نمیگیرد، کمی عجیب به نظر میرسد. یکی از دلایل این وضعیت، وجود شایعاتی در مورد کاهش تولید میلگرد و تیرآهن توسط ذوبآهن اصفهان به منظور افزایش تمرکز بر تولید محصولات پرسودتر مثل ریل است، شایعهای که اگر به واقعیت بپیوندد، قیمت محصولات ذوبی را در آینده بهشدت بالا میبرد.
تحلیل قیمت میلگرد در 1 تا 6 خرداد 1400
در هفته اول خرداد قیمت میلگرد اصفهان به مرز 15.000 تومان هم نزدیک شد اما مجدداً پایین آمد و در انتهای هفته، تفاوت چندانی با هفته قبل نداشت. از طرف دیگر، قیمت میلگرد بناب در اوایل هفته به زیر 14.000 تومان رسید اما در آخر هفته، قیمتی مشابه با هفته آخر اردیبهشت داشت. نمودار تغییرات قیمت میلگرد این دو کارخانه را در زیر میبینید:

نمودار 4: تغییرات قیمت میلگرد 20 اصفهان در 1 تا 6 اردیبهشت 1400

نمودار 5: تغییرات قیمت میلگرد 20 ظفر بناب در 1 تا 6 خرداد 1400
قیمت تیرآهن در هفته اول خرداد 1400 چقدر افزایش یافت؟
همانطور که در بالا خواندید، قیمت تیرآهن اصفهان در هفته اول خرداد سرتیتر اخبار گرانی در بازار آهن و فولاد را به خود اختصاص داده است. قیمت این مقطع فولادی در انتهای هفته آخر اردیبهشت، 14.700 تومان بود اما در انتهای هفته اول خرداد به 15.000 تومان به ازای هر کیلو رسید. نمودار تغییرات قیمت تیرآهن ذوبآهن در هفته اول خرداد 1400 را در زیر میبینید:

نمودار 6: تغییرات قیمت تیرآهن 16 ذوبآهن در 1 تا 6 خرداد 1400
قیمت نبشی در هفته اول خرداد چقدر تغییر داشت؟
وضعیت قیمت نبشی مشابه با قیمت قوطی و پروفیل بود. در هفته اول خرداد 1400، قیمت نبشی ناب تبریز با افزایشی نامحسوس و 350 تومانی، به 15.400 تومان رسید. تغییرات قیمت نبشی آریان فولاد و ناب تبریز را در نمودارهای زیر میبینید:

نمودار 7: تغییرات قیمت نبشی 4 ناب تبریز در 1 تا 6 خرداد 1400

نمودار 8: تغییرات قیمت نبشی 4 آریان فولاد در 1 تا 6 خرداد 1400
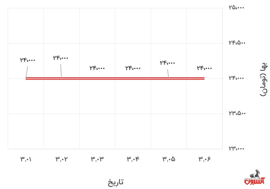
تغییرات قیمت قوطی پروفیل در 1 تا 6 خرداد 1400
در هفته اول خرداد 1400 قیمت قوطی پروفیل کیان پرشیا نسبت به هفته قبل از آن، تغییری نکرد و روی عدد 24.000 تومان ثابت باقی ماند. قیمت قوطی پروفیل فولاد گستر حداد نیز وضعیتی مشابه داشت و در تمام طول هفته نزدیک به عدد 23.000 تومان بود. تغییرات قیمت این دو محصول را در ادامه میبینید:

نمودار 9: تغییرات قیمت پروفیل 2*40*40 کیان پرشیا در 1 تا 6 خرداد 1400

نمودار 10: تغییرات قیمت پروفیل 2*40*40 فولاد گستر حداد در 1 تا 6 خرداد 1400
اگر به دنبال خرید قوطی پروفیل هستید، کافی است نام و شماره تماستان را اینجا قرار دهید تا کارشناسان فروش ما در اسرع وقت با شما تماس بگیرند:
وضعیت بازار آهن و فولاد در هفته بعد چگونه خواهد بود؟
در هفتههای اخیر شاهد سیگنالهای اقتصادی مثبت در مورد بازار هستیم، از کاهش قیمت جهانی فولاد و شمش منطقه CIS گرفته تا ثبات نسبی قیمت ارز؛ اما در بازار داخلی میزان تقاضا همچنان پایین است، آن هم با وجود اینکه بهجز چند مقطع فولادی خاص، تولیدکنندگان قیمت محصولات خود را چندان تغییر ندادهاند.
بهعنوان مثال در هفته اول خرداد از 144.026 تن مقطع شمش فولادی عرضهشده در بورس کالا، 88.746 تن با قیمت 13.730 به فروش رفت. این موضوع نشاندهنده تداوم امید تولیدکنندگان مقاطعی مثل میلگرد به افزایش تقاضا در بازار و همچنین افزایش قیمت این مقطع فولادی در بازار است. چرا که قیمت میلگرد آجدار در حال حاضر در کانال 14.000 تومان قرار داد و با توجه به لزوم اختلاف منطقی میان قیمت شمش و میلگرد، قیمت این مقطع فولادی به احتمال زیاد در هفتههای آینده افزایش پیدا خواهد کرد.
باوجود آشفتگی بازار آهن و فولاد، کسب اطلاعات دقیق و تحلیل بازار پیش از انجام هرگونه خرید، ضروری به نظر میرسد. مطالعه تحلیل جامع بازار آهن و فولاد، کار شما را در این زمینه کمی آسان میکند.