میلگرد از مهمترین مرحله شروع یک سازه ساختمانی است که به استحکام ساختمان کمک ویژهای میکند. کارخانههای فولادی بسیاری امروزه در حال فعالیت در زمینه تولید میلگردهای مختلف هستند که یکی از آنها کارخانه جهان فولاد سیرجان است. امروز در این مطلب قصد داریم وزن میلگرد جهان فولاد سیرجان و دیگر پارامترهای آن را موردبررسی قرار دهیم.
تاریخچه کارخانه جهان فولاد سیرجان
کارخانه جهان فولاد سیرجان در سال 1388 باهدف تولید میلگردهای a2 و a3 در سایزهای 8 الی 32 راهاندازی شد. قیمت میلگرد سیرجان در مقایسه یا قیمت میلگرد کارخانههای دیگر مناسب بوده و با توجه به نوسانات قیمت آهن در بازار، ممکن است تغییر کند.
همانطور که از نام آن مشخص است، این کارخانه در شهر سیرجان قرار دارد. به تازگی کارخانه جهان فولاد سیرجان توانسته یکی از محصولات خود یعنی آهن اسفنجی را در بورس کالا در دسترس عموم قرار دهد. جهان فولاد با شروع فروش در بورس کالا، صفهای عظیم خرید را از آن خود کرد که همین امر باعث شد تا جرقه صادرات میلگرد و آهن، از سوی این کارخانه زده شود. این کارخانه اعلام کرد که بهزودی، شاهد صادرات محصولاتش به افغانستان و دیگر کشورها خواهیم بود.

کارخانه ذوب آهن جهان فولاد سیرجان
وزن میلگرد جهان فولاد سیرجان چقدر است؟
وزن میلگرد جهان فولاد سیرجان بسیار نزدیک به استاندارد ملی و جدول اشتال است. بهعنوانمثال وزن میلگرد سایز 8 جهان فولاد سیرجان حدود 5 کیلوگرم است.

کارخانه جهان فولاد سیرجان چه فعالیتهایی دارد؟
• تولید کنستانتره سنگآهن با عیار %68 و با ظرفیت سالانه 4 میلیون تن
• تولید شمش فولادی با ظرفیت 1 میلیون تن در سال
• استخراج و بهرهبرداری از معادن سنگآهن واگذارشده از سوی ایمیدرو
• تولید آهن اسفنجی با ظرفیت 1 میلیون تن
• تولید گندله سنگآهن با ظرفیت 2.5 میلیون تن
محصولات جهان فولاد سیرجان
بریکت:
این کارخانه برای تولید بریکت، آهن اسفنجی را با چسب مخصوص پرس میکند و در کورههای تولید فولاد برای شارژ قرار میدهد. ابعاد این بریکتها 3*3*5 سانتیمتر است.

میلگرد:
میلگرد جهان فولاد سیرجان با استاندارد ملی 3132 در این کارخانه تولید میشود.
تولید میلگردهای آجدار جناغی جهت بهبود خاصیتهای مکانیکی با روش حرارتی (Quench-temper) صورت میگیرد.
این کارخانه عظیم فولادی، سالانه حدود 650 هزار تن میلگردهای آجدار تولید و عرضه میکند که سایز این میلگردها بین 8 الی 32 است. همچنین این میلگردها در 2 نوع ساده (A1) و آجدار (A2, A3) تولید میشوند که نوع آجدار آن نیز در 2 زیرمجموعه آج جناغی و آج مارپیچ در حال عرضه در بازار است. وزن میلگرد جهان فولاد سیرجان نزدیک به وزن جدول اشتال است و میتوانید بهراحتی به محصولات این کارخانه اعتماد کنید.
در جدول زیر تمامی وزنهای مختلف میلگرد جهان فولاد سیرجان گردآوریشده است.
|
سایز میلگرد
|
وزن میلگرد سیرجان به کیلوگرم
|
جدول اشتال
|
|
8
|
5
|
5
|
|
10
|
8
|
7.5
|
|
12
|
11
|
10.7
|
|
14
|
15
|
14.6
|
|
16
|
19
|
18.9
|
|
18
|
24
|
24
|
|
20
|
30
|
29.7
|
|
22
|
36
|
35.6
|
|
25
|
47
|
46.2
|
|
28
|
58
|
58
|
|
32
|
76
|
75.8
|
جدول وزن میلگرد سیرجان
با بررسی دقیق جدول بالا درمییابید که وزن میلگرد ۱۶ سیرجان ر بهترین فاصله با جدول اشتال قرار دارد.
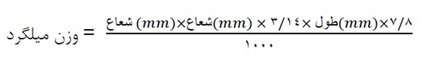
محاسبه وزن میلگرد جهان فولاد سیرجان
محاسبه وزن میلگرد جهان فولاد سیرجان بهراحتی با فرمول زیر قابلمحاسبه است:

شمش:
شمشهای تولیدشده در کارخانه تولیدی جهان فولاد سیرجان شامل انواع زیر در طول 6 تا 12 متر میشود:
• 130*130 میلیمتر
• 150*150 میلیمتر
• 180*180 میلیمتر
آهن اسفنجی:
آهن اسفنجی در کارخانه جهان فولاد سیرجان به صورت مستقیم از گندله و پس از اجرای عملیات احیای مستقیم، تولید میشود. در این محصول درجه متالیزاسیون آهن اسفنجی حدود 92% است. همچنین ترکیب شیمیایی آهن اسفنجی به شرح ذیل است:
• 89.88% آهن
• 1.7% کربن
• 3% دیاکسید سیلیسیم
• 0.7% تری اکسید آلومینیوم
• 0.008% گوگرد
• 0.05% فسفر

حال که بهطور کامل با کارخانه جهان فولاد سیرجان آشنایی کامل پیدا کردید و از وزن میلگرد جهان فولاد سیرجان مطلع شدید، بهراحتی میتوانید با بررسی قیمت میلگرد سیرجان و تخمین متناسب بودن آن با بودجهتان، پروژههای خود را با هزینههای برنامهریزیشده به اتمام برسانید. قبل از هر اقدامی، به طور کامل با راهنمای خرید میلگرد آشنا شوید.